以下文章来源于生物制药小编 ,作者清风
Linker-drug (LD) 与抗体的偶联是产生ADC和确定ADC关键质量属性的关键步骤,其可以从根本上改变ADC的药代动力学和治疗指数。目前超过95%的ADC基于两种偶联技术:半胱氨酸烷基化或赖氨酸酰化。前十个获批的ADC中有7个基于半胱氨酸偶联(Adcetris、Polivy、Padcev、Enhertu、Trodelvy、Blenrep和ZynLonta);3个基于赖氨酸偶联制备(Kadcyla、Mylotarg和Besponsa)。除了传统的这两种方法外,目前新的技术正在迅速涌现,不仅涉及半胱氨酸(烷基化和交联化)和赖氨酸(酰化或烷基化)偶联的创新方法以产生更加均质的ADC并提高治疗指数,而且还扩展到新的偶联技术,例如基于羰基、酰胺、叠氮基的偶联技术。本文将分两个部分对ADC的这些偶联技术做一个介绍。
巯基(-SH)是ADC领域中最普遍的反应之一,主要基于三个元素。(A) 巯基是最亲核的氨基酸侧链官能团(比胺更亲核);(B)抗体中适合结合的链间半胱氨酸的数量相对较少(对于IgG1和IgG4为8个),并且对抗体的稳定性不重要,这使得相对可控制的DAR成为可能;(C)链间半胱氨酸,存在于铰链区,连接重链(HC)和轻链(LC),在连接后可以‘隐藏’疏水有效载荷。
目前基本上硫醇偶联ADC均基于马来酰亚胺化学(图 1)。已经开发了多种马来酰亚胺类试剂用于烷基化,烷基化发生在天然链间半胱氨酸或工程半胱氨酸上。
图1.基于马来酰亚胺化学偶联ADC硫醇的基团
马来酰亚胺是顺丁烯二酸酐与胺衍生物反应的结构元素,很容易通过亲核Michael加成硫醇基团而发生烷基化反应,形成稳定的硫醚键(图2)。马来酰亚胺在pH为6.5-7.5范围与硫醇反应,其反应速度是胺反应的1000倍,从而可以用最小的试剂量实现完全转化。马来酰亚胺烷基化的主要缺点是Michael加成的可逆性,其速率高度依赖于它所连接的特定半胱氨酸残基的pKa。这种逆Michael反应可能导致连接子药物(LD)在循环中过早释放,并可能导致不良事件,这也一直是开发更稳定的马来酰亚胺变种的重要驱动因素。
图2.各种马来酰亚胺试剂与半胱氨酸烷基化
单抗中的半胱氨酸都参与了二硫键的形成,因此需要在与LD结合之前进行还原步骤以释放硫醇基团。通过优化还原剂(通常为TCEP或DTT)的量,以释放特定的自由硫醇基团(对于IgG1和IgG4,最多释放8个)。通过与半胱氨酸偶联制备的上市的ADC有Adcetris、Polivy、Padcev、Enhertu、Blenrep、Trodelvy、Zynlonta、RC48等。由于缺乏位点特异性,这些ADC通常以随机混合物的形式产生,平均DAR在2.3-4之间。
然而,有两个例外,Enhertu和Trodelvy是通过所有链间半胱氨酸的接近定量水平结合产生的,DAR分别为7.7和7.6,因此具有位点特异性。尽管在绝大多数使用马来酰亚胺-己基连接子。然而有一些电子不足的氨基乙基或乙二醇间隔基的ADC可能抑制逆迈克尔反应,例如基于β-氨基乙基的AbGn-107、Zynlonta、ADCT-502、IMGN632、JBH492、MEDI2228和TR1801-ADC;基于乙二醇的SYD985、MORAb-202和ZW49。一些苯基取代的马来酰亚胺,据报道也更稳定,目前还处于临床前开发中。
后续研究者开发了将LD与抗体特定设计的半胱氨酸进行定点结合的ADC,相比随机ADC混合物,其可能会提供更高的治疗指数。目前,多个位点特异性的ADC已进入临床,如SGN-CD19B、CD123A和CD352A(均为HC-S239C突变);RG7861/DSTA4637S(LC-V205C突变);IMGN632(S442C突变);BAT8003(A114C突变);以及基于双半胱氨酸突变的ADC,如PF-06804103(LC-K183C HC-K290C)。还开发了两种其他的技术,即半胱氨酸插入,如MEDI2228(HC-i239C);以及HC-末端多肽融合,如ALT-P7(C-末端ACGHAACGHA融合)。然而,半胱氨酸工程抗体的使用并不能保证临床成功,一些已经放弃开发,例如,BAT8003和上面提到的Seagen的 三个ADC。
通过对硫醚-琥珀酰亚胺加合物进行水解以提供顺丁烯二酸衍生物,可以抑制不希望发生的逆Michael反应。这种水解可以通过在pH为9的条件下对ADC进行长时间的处理来实现;然而,这可能导致蛋白质降解事件,例如脱酰胺或焦谷氨酸的形成。Seagen通过使用DPR技术,在烷基链的a位上带有氨甲基,解决了此问题 (图3)。在加入硫醇后,氨基诱导琥珀酰亚胺结合物的自发自水解,从而阻止了逆Michael反应。引入该技术的ADC产品有SGN-CD48A(现已停产)、 SGN-CD228A。
图3. 半胱氨酸与基于二氨基丙酸(DPR)氨甲基的马来酰亚胺试剂进行烷基化反应,然后自水解得顺丁烯二酸偶联物
各种替代马来酰亚胺烷基化的技术近年来也被开发出来。例如,a-卤代乙酰胺试剂的高反应性是众所周知的,其中 2-碘乙酰胺是游离半胱氨酸封端的无可争议的可选择试剂。更重要的是,其形成的硫醚键的是完全不可逆的,因此在稳定性方面优于硫醇-马来酰亚胺醚。另外Alley的研究使用a-溴乙酰胺丙基连接子为硫醚ADC提供了极好的血浆稳定性,在小鼠体内注射2周内没有可测到的系统性药物释放。
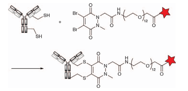
由于甲磺酰基苯并噻唑(MSBT)是一种选择性的硫醇封闭剂,Barbaset等人开发了一系列芳香族甲磺酸试剂,用于硫醇蛋白质的烷基化反应。类似地,甲磺酸基嘧啶与硫醇通过亲核芳香取代机理进行反应(图4),这一概念应用于SKB264。
Glythera(现为 Iksuda)的研究人员报告了通过将游离半胱氨酸硫醇基团与 4-乙烯基吡啶反应获得的高度稳定的硫醚ADC,这种技术称为PermaLinks(图4)。所得 ADC 具有被证明具有良好的稳定性。
柏林大学开发的亚膦酸膦技术,现在已被Tubulis商业化使用,其与传统的马来酰亚胺相比,具有缺电子三键的芳基膦酰亚胺化合物显示出极好的半胱氨酸选择反应活性,同时所得到的(Z)-乙烯基硫醚具有极好的稳定性(图4)。
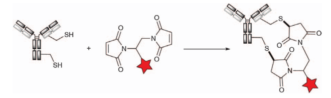
马来酰亚胺烷基化的能力也被应用于各种交联双马来酰亚胺试剂(图5)。每个试剂将捕获两个游离的半胱氨酸硫醇基团,从而在所有八个链间二硫键完全还原后导致DAR4 ADC。例如,New Bio的NBT828中使用了双马来酰亚胺交联剂。
图5. 双马来酰亚胺试剂交联半胱氨酸
来自阿斯利康的研究人员报道了用双马来酰亚胺修饰的有效载荷(PBD)重桥半胱氨酸工程抗体,以获得DAR1 ADCs(图6)。
图6. 双马来酰亚胺修饰的有效载荷重桥半胱氨酸工程抗体
游离硫醇的高亲核性和简便易行的Michael加成也被用于不同类型的交联剂中,最初被Del Rosario和Wilbur报道,并由Poly-Therics (现为Abzena;THIObridge技术)为ADC开发。重桥可以通过使用双硫醇反应基团重新连接形成的硫醇来增加还原抗体的稳定性,从而更好地保持最终连接物中的构象完整性。用由双-a,a-甲苯磺酰基甲基酮前体原位形成的α-甲苯磺酰基甲基-α,β-不饱和酮试剂处理还原抗体会导致一系列反应,例如,Michael加成,β-消除 甲苯基亚磺酸,并再次Michael加成以提供稳定的交联产物(图7)。THIObridget 技术目前用于 OBI999 ADC(phase 1 阶段)。

图7. 半胱氨酸与甲苯磺酸丙烯酸酯试剂的交联(THIObridge技术)
第三种DAR4 ADCs的交联方法是由Concortis (现为Sorrento)以C-lock技术开发的。C-lock技术结合了硫醇的亲核性和溴化苄基亲核SN2取代。因此,通过还原链间二硫化物,然后与双溴甲基芳基试剂反应,例如双溴甲基喹恶啉,发生不可逆交联制得硫醚(图8)。一款使用C-lock技术的ADC(CD38-ADC) 已经进入临床。
图8. 半胱氨酸与双溴甲基喹恶啉的双烷基化交联(C-lock)。
受二溴马来酰亚胺基团对还原二硫键重新桥联的启发, Chudasamaa等人开发了一种基于氮杂二酮(PD)基团的核心结构的的重桥技术。与马来酰亚胺衍生物不同,氮杂二酮环更稳定,不会通过水解开环,从而得到更均匀的共轭化合物。研究者开发了一溴PD(MBPD)和二溴PD (DBPD)的衍生物,并证明了这两种衍生物都能够在pH 8.0的条件下与硫醇基团发生特异性反应。使用DBPD硫醇重桥化学技术已被用于创建具有高度受控的有效载荷修饰的ADC(图9)。
图9. 抗体硫醇基团与二溴并氮杂二酮衍生物的交联
虽然不直接连接到抗体半胱氨酸上,但ADC早期开发中就应用了二硫键作为连接子的一部分,例如MLN2704、CMD-401、BIWI-1和IMGN242。在细胞毒有效载荷和抗体之间含有二硫键的连接子设计可以推动可逆连接,这种连接可以通过肿瘤细胞内的谷胱甘肽还原来裂解以释放毒素。然而,由于溶解的半胱氨酸的存在,循环中二硫键的过早断裂经常发生,这导致进入肿瘤细胞之前释放有效载荷。
在二硫化物附近的碳原子上添加保护基团制造空间位阻来增加循环的稳定性,但在许多情况下,它们也会降低肿瘤细胞内毒素的释放速度。此外,即使受阻二硫化物的稳定性增加,ADC也不如药物结合在抗体序列中最佳位置的工程半胱氨酸残基上有效。Pillowet等人是第一个将小分子药物直接连接到抗体不同位置的工程半胱氨酸上(图10)。通过使用受阻或不受阻二硫键的ADC进行比较,确定LC-K149C位置上的工程半胱氨酸是结合含有二硫键的药物最稳定的结合部位。使用LC-K149C位点创建的ADC表现出极好的循环稳定性,同时允许肿瘤细胞内谷胱甘肽的有效切割。
图10. 通过工程半胱氨酸产生二硫键以制备抗体结合物
氨基天然存在于赖氨酸侧链中,是与单抗偶联最方便的官能团,其不需要预先的化学修饰步骤。虽然由于其高的pKa(~10.5),大部分蛋白质在中性pH下被质子化,但蛋白质中仍有一小部分氨基将以中性、未质子化的形式存在。氨基在亲核性方面仅次于硫醇基团,但明显领先于其他的氨基酸的侧链(如精氨酸、丝氨酸、色氨酸、蛋氨酸)。而且,赖氨酸的氨基不像半胱氨酸硫醇那样需要还原释放,并且大量可用,例如,抗体可能包含多达80个暴露在溶剂中的赖氨酸残基。胺类化合物修饰的初级偶联反应通过两种主要的途径:酰化或烷基化。一般来说,这些反应是快速和选择性的,产生稳定的键(酰胺键或仲胺键),并导致高产率。然而,由于赖氨酸的大量存在,有限数量的选择性酰化是非常具有挑战性的,因此赖氨酸偶联的ADC通常显示出广泛的DAR分布,结合发生在大量的位点上(图11)。
图11. 通过酰化(A)或还原烷基化(B)与天然赖氨酸发生随机偶联
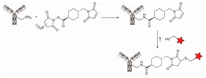
羟基丁二酰亚胺(NHS)酯是最常用的用于氨基酰化反应的羧酸的活性衍生物。NHS含酯试剂很容易在碳二亚胺存在下由羧酸盐和NHS反应生成,随着NHS leaving基团的释放,与胺类亲核试剂反应生成稳定的酰胺键(图12)。这种酯与其他亲核试剂,如醇或水的竞争反应慢了几个数量级,而与硫醇或组氨酸氮基的反应产生不稳定的硫酯或咪唑基酯,很容易水解或仍与邻近的胺交换形成酰胺键。除了中性的NHS酯外,还可以制备具有更好水溶性的磺化衍生物(sulfo-NHS)。例如,在制造Kadcylas中使用的SMCC试剂。
图12. 氨基与NHS酯的酰化反应
通过赖氨酸酰化制备的代表性ADC有 Mylotarg、Besponsa、IMGN853和SAR408701。
法国斯特拉斯堡大学的Wagneret等人报告了一种通过4-叠氮苯甲酰氟(ABF)与赖氨酸氨基反应的新方法。该试剂与抗体上的伯胺快速反应形成酰化产物,比使用基于NHS酯的试剂效率更高(图13)。其末端叠氮基可以用于偶联毒素、荧光染料和寡核苷酸。
图13. 4-叠氮苯甲酰氟与赖氨酸侧链反应生成叠氮化抗体
虽然赖氨酸侧链的直接酰化是抗体偶联的最直接和最容易的方法,但广泛的DAR分布的是其一个显著的缺点。因此,开发了位点特异性酰化技术。
例如,Concortis Biosystems 公司(现为Sorrento Therapeutics)报道了一种名为K-lock的一步赖氨酸结合技术,该技术可以通过将细胞毒性有效载荷连接到预先选择的抗体位点来产生位点特定的ADC。尽管该技术的细节尚未披露,但已经被用于各种项目,例如,与Lova Therapeutics合作的靶向5T4的 ADC药物(ZV05)。
Bernardes等人也报道了特定部位的赖氨酸酰化反应。使用从计算机辅助预测的具有最低pKA的抗体赖氨酸的试剂,在略碱性pH的酰化反应将在动力学上有利的。研究发现磺酰基丙烯酸酯仅使用单摩尔当量(37℃,pH 8.0)就能快速进行反应,使得曲妥珠单抗轻链Lys207的定量和不可逆修饰,并完全保留天然二级结构和功能(图14)。
图14. Lys207与磺酸甲酯的反应,然后氨基官能化的有效载荷的aza-Michael加成
Ajinomoto的研究人员报道了一种两阶段、定点赖氨酸偶联Ajicap技术。这项技术的核心是精心设计的来自protein A的高亲和力环肽,其与抗体的Fc部分具有高亲和力。研究发现,如果环肽带有反应性的酯部分,则抗体-多肽复合体附近的Lys248的酰化反应具有极高的选择性。随后还原二硫键部分,同时从抗体中去除亲和肽,并释放出一个自由的硫醇基团,用于与有效载荷进行反应(图15)。
图15. 基于抗体Fc与高亲和肽结合的Ajicap技术
BMS的BMS-986183和BMS-936561(MDX-1203)优雅地结合了氨基和硫醇的化学成分。用 Traut’s试剂(一种五元亚氨基硫酯)处理抗体会导致赖氨酸上amidine(脒)基团的形成、环打开和游离硫醇的暴露(图16)。除去多余试剂后,用马来酰亚胺官能化的接头反应很容易得到所需的ADC。显然,用这种方法制备的ADC,虽然有趣,但可能同时具有赖氨酸偶联的广泛分布和硫醇基团潜在的逆Michael反应的缺点。
图16. 抗体与Traut试剂反应,引入游离的硫醇基团,通过基于马来酰亚胺的连接子进行偶联
HTI-1066/SHR-A1403(恒瑞)采用了一种将氨基转化为硫醇的替代方法。首先使用S-(3-氧丙基)硫代乙酸酯处理c-Met抗体,使其在天然赖氨酸上安装了游离的硫醇基团。然后通过马来酰亚胺共轭引入有效载荷(图17)。
图17. S-(3-氧丙基)硫代乙酸酯与抗体的赖氨酸烷基化反应引入游离的硫醇基团,通过马来酰亚胺共轭引入有效载荷
最常见和成功应用的官能团相互转化方法之一是双功能活性酯/马来酰亚胺试剂SMCC或其磺化变体(磺化SMCC)来处理天然赖氨酸。然后通过Michael加成来引入硫醇功能化的连接子-有效载荷(图18)。或者,如果用硫醇部分适当官能化,则可以引入有效载荷自身,例如,DM1就是这种情况,已应用于多种ADC,最著名的是Kadcyla(T-DM1)、DEBIO-1562和Avid100。
图18. 首先用SMCC试剂处理天然抗体,然后添加硫醇功能化的有效载荷,制备ADC